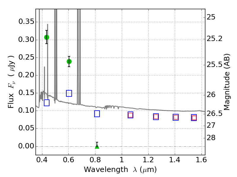
ABELL520 ACS+IR detection object #2252

Color images and BPZ results
Catalog: 2252.cat
Black segments are analyzed here.   Roll mouse over color images to view segments.
Best viewed in a wide browser window (1200 pixels or more).   Download SED & P(z) plots to view larger versions.
In P(z) plots: Yellow lines mark the cluster redshift z = 0.203,  

Object #2252   x,y = (900, 1497)   RA, Dec = (04:54:21.888, 02:53:21.84) = (73.59120, 2.88940)   BPZ = 0.019 [0.010--1.623]   type = 11.00 (SB11_A_0_l)   chisq2 = 177.11   ODDS = 0.96   z_cluster = 0.203