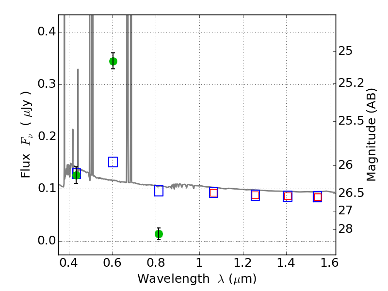
ABELL520 ACS+IR detection object #2166

Color images and BPZ results
Catalog: 2166.cat
Black segments are analyzed here.   Roll mouse over color images to view segments.
Best viewed in a wide browser window (1200 pixels or more).   Download SED & P(z) plots to view larger versions.
In P(z) plots: Yellow lines mark the cluster redshift z = 0.203,  

Object #2166   x,y = (7641, 1458)   RA, Dec = (04:53:54.888, 02:53:19.68) = (73.47870, 2.88880)   BPZ = 0.017 [0.010--0.035]   type = 11.00 (SB11_A_0_l)   chisq2 = 169.77   ODDS = 1.00   z_cluster = 0.203