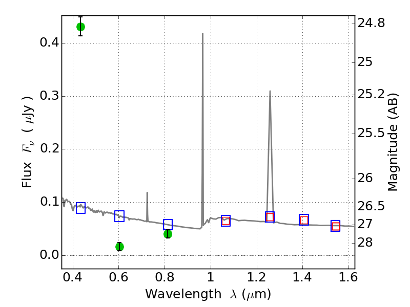
ABELL520 ACS+IR detection object #1793

Color images and BPZ results
Catalog: 1793.cat
Black segments are analyzed here.   Roll mouse over color images to view segments.
Best viewed in a wide browser window (1200 pixels or more).   Download SED & P(z) plots to view larger versions.
In P(z) plots: Yellow lines mark the cluster redshift z = 0.203,  

Object #1793   x,y = (3911, 1302)   RA, Dec = (04:54:09.840, 02:53:10.32) = (73.54100, 2.88620)   BPZ = 1.590 [1.312--2.132]   type = 11.00 (SB11_A_0_l)   chisq2 = 380.88   ODDS = 0.46   z_cluster = 0.203