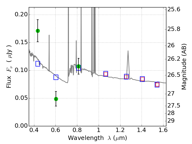
ABELL520 ACS+IR detection object #1682

Color images and BPZ results
Catalog: 1682.cat
Black segments are analyzed here.   Roll mouse over color images to view segments.
Best viewed in a wide browser window (1200 pixels or more).   Download SED & P(z) plots to view larger versions.
In P(z) plots: Yellow lines mark the cluster redshift z = 0.203,  

Object #1682   x,y = (2102, 1271)   RA, Dec = (04:54:17.088, 02:53:08.52) = (73.57120, 2.88570)   BPZ = 0.931 [0.723--10.331]   type = 11.00 (SB11_A_0_l)   chisq2 = 14.47   ODDS = 0.36   z_cluster = 0.203