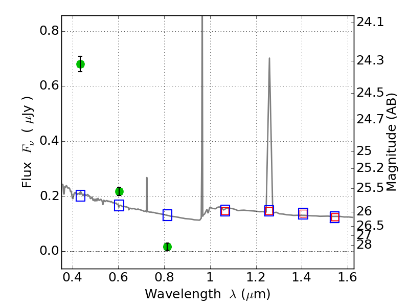
ABELL520 ACS+IR detection object #1659

Color images and BPZ results
Catalog: 1659.cat
Black segments are analyzed here.   Roll mouse over color images to view segments.
Best viewed in a wide browser window (1200 pixels or more).   Download SED & P(z) plots to view larger versions.
In P(z) plots: Yellow lines mark the cluster redshift z = 0.203,  

Object #1659   x,y = (964, 1261)   RA, Dec = (04:54:21.648, 02:53:07.80) = (73.59020, 2.88550)   BPZ = 1.593 [1.526--1.952]   type = 11.00 (SB11_A_0_l)   chisq2 = 318.19   ODDS = 0.82   z_cluster = 0.203