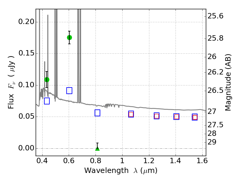
ABELL520 ACS+IR detection object #16486

Color images and BPZ results
Catalog: 16486.cat
Black segments are analyzed here.   Roll mouse over color images to view segments.
Best viewed in a wide browser window (1200 pixels or more).   Download SED & P(z) plots to view larger versions.
In P(z) plots: Yellow lines mark the cluster redshift z = 0.203,  

Object #16486   x,y = (7354, 4813)   RA, Dec = (04:53:56.040, 02:56:40.92) = (73.48350, 2.94470)   BPZ = 0.019 [0.010--0.039]   type = 11.00 (SB11_A_0_l)   chisq2 = 115.04   ODDS = 1.00   z_cluster = 0.203