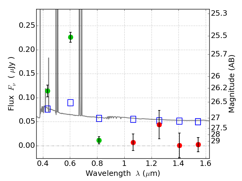
ABELL520 ACS+IR detection object #1642

Color images and BPZ results
Catalog: 1642.cat
Black segments are analyzed here.   Roll mouse over color images to view segments.
Best viewed in a wide browser window (1200 pixels or more).   Download SED & P(z) plots to view larger versions.
In P(z) plots: Yellow lines mark the cluster redshift z = 0.203,  

Object #1642   x,y = (5810, 1254)   RA, Dec = (04:54:02.232, 02:53:07.44) = (73.50930, 2.88540)   BPZ = 0.017 [0.010--0.038]   type = 11.00 (SB11_A_0_l)   chisq2 = 31.35   ODDS = 1.00   z_cluster = 0.203