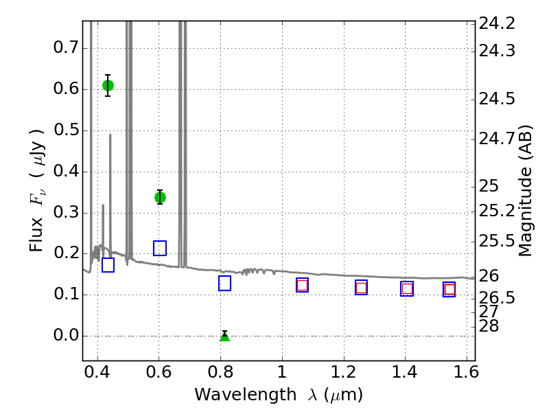
ABELL520 ACS+IR detection object #1636

Color images and BPZ results
Catalog: 1636.cat
Black segments are analyzed here.   Roll mouse over color images to view segments.
Best viewed in a wide browser window (1200 pixels or more).   Download SED & P(z) plots to view larger versions.
In P(z) plots: Yellow lines mark the cluster redshift z = 0.203,  

Object #1636   x,y = (961, 1252)   RA, Dec = (04:54:21.648, 02:53:07.08) = (73.59020, 2.88530)   BPZ = 0.018 [0.010--0.036]   type = 11.00 (SB11_A_0_l)   chisq2 = 351.79   ODDS = 1.00   z_cluster = 0.203