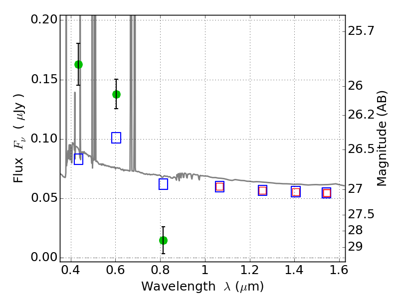
ABELL520 ACS+IR detection object #16294

Color images and BPZ results
Catalog: 16294.cat
Black segments are analyzed here.   Roll mouse over color images to view segments.
Best viewed in a wide browser window (1200 pixels or more).   Download SED & P(z) plots to view larger versions.
In P(z) plots: Yellow lines mark the cluster redshift z = 0.203,  

Object #16294   x,y = (488, 4466)   RA, Dec = (04:54:23.544, 02:56:20.04) = (73.59810, 2.93890)   BPZ = 0.023 [0.017--2.207]   type = 11.00 (SB11_A_0_l)   chisq2 = 50.56   ODDS = 0.10   z_cluster = 0.203