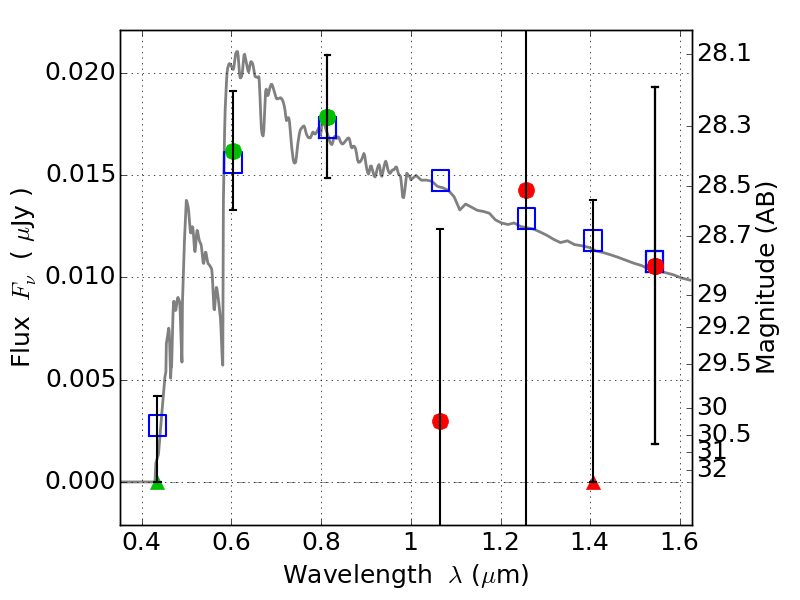
ABELL520 ACS+IR detection object #16152

Color images and BPZ results
Catalog: 16152.cat
Black segments are analyzed here.   Roll mouse over color images to view segments.
Best viewed in a wide browser window (1200 pixels or more).   Download SED & P(z) plots to view larger versions.
In P(z) plots: Yellow lines mark the cluster redshift z = 0.203,  

Object #16152   x,y = (2000, 5073)   RA, Dec = (04:54:17.496, 02:56:56.40) = (73.57290, 2.94900)   BPZ = 3.781 [0.297--4.218]   type = 11.00 (SB11_A_0_l)   chisq2 = 0.40   ODDS = 0.55   z_cluster = 0.203