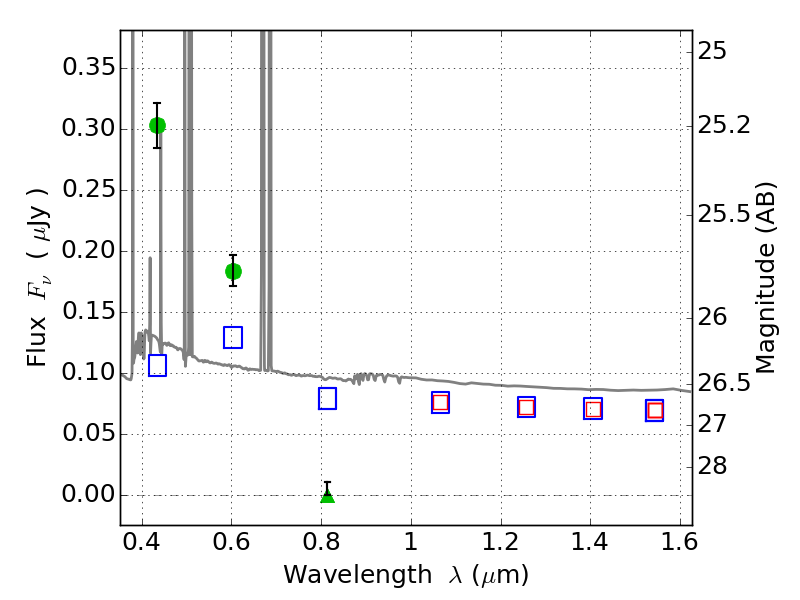
ABELL520 ACS+IR detection object #1550

Color images and BPZ results
Catalog: 1550.cat
Black segments are analyzed here.   Roll mouse over color images to view segments.
Best viewed in a wide browser window (1200 pixels or more).   Download SED & P(z) plots to view larger versions.
In P(z) plots: Yellow lines mark the cluster redshift z = 0.203,  

Object #1550   x,y = (971, 1223)   RA, Dec = (04:54:21.600, 02:53:05.64) = (73.59000, 2.88490)   BPZ = 0.020 [0.012--2.013]   type = 11.00 (SB11_A_0_l)   chisq2 = 174.70   ODDS = 0.21   z_cluster = 0.203