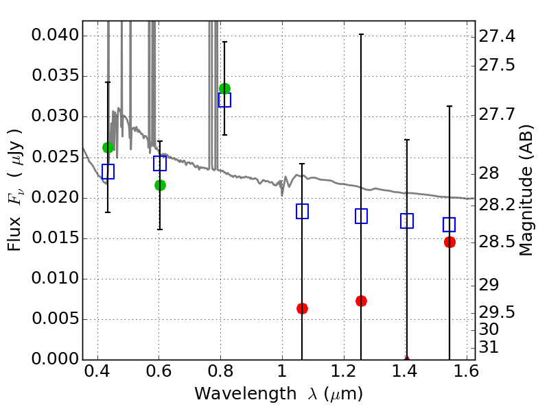
ABELL520 ACS+IR detection object #15470

Color images and BPZ results
Catalog: 15470.cat
Black segments are analyzed here.   Roll mouse over color images to view segments.
Best viewed in a wide browser window (1200 pixels or more).   Download SED & P(z) plots to view larger versions.
In P(z) plots: Yellow lines mark the cluster redshift z = 0.203,  

Object #15470   x,y = (2770, 5157)   RA, Dec = (04:54:14.400, 02:57:01.44) = (73.56000, 2.95040)   BPZ = 0.171 [0.092--3.286]   type = 11.00 (SB11_A_0_l)   chisq2 = 0.21   ODDS = 0.21   z_cluster = 0.203