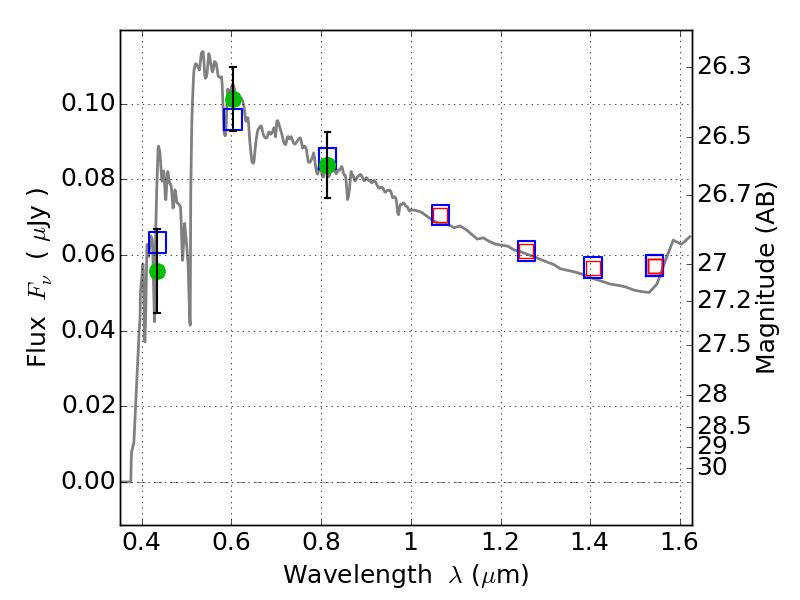
ABELL520 ACS+IR detection object #1538

Color images and BPZ results
Catalog: 1538.cat
Black segments are analyzed here.   Roll mouse over color images to view segments.
Best viewed in a wide browser window (1200 pixels or more).   Download SED & P(z) plots to view larger versions.
In P(z) plots: Yellow lines mark the cluster redshift z = 0.203,  

Object #1538   x,y = (7333, 1215)   RA, Dec = (04:53:56.136, 02:53:04.92) = (73.48390, 2.88470)   BPZ = 3.176 [0.289--3.403]   type = 11.00 (SB11_A_0_l)   chisq2 = 0.64   ODDS = 0.42   z_cluster = 0.203