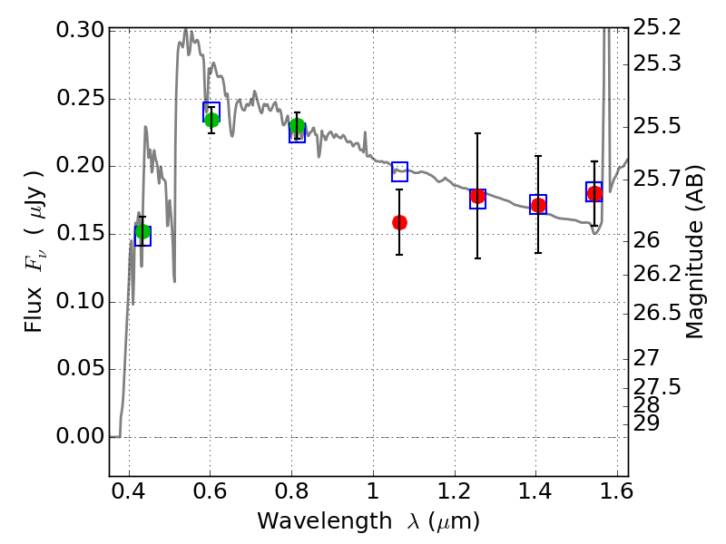
ABELL520 ACS+IR detection object #14566

Color images and BPZ results
Catalog: 14566.cat
Black segments are analyzed here.   Roll mouse over color images to view segments.
Best viewed in a wide browser window (1200 pixels or more).   Download SED & P(z) plots to view larger versions.
In P(z) plots: Yellow lines mark the cluster redshift z = 0.203,  

Object #14566   x,y = (812, 5479)   RA, Dec = (04:54:22.248, 02:57:20.88) = (73.59270, 2.95580)   BPZ = 3.223 [0.322--3.318]   type = 10.50 (SB11_A_0_l - SB3_B10)   chisq2 = 0.28   ODDS = 0.84   z_cluster = 0.203