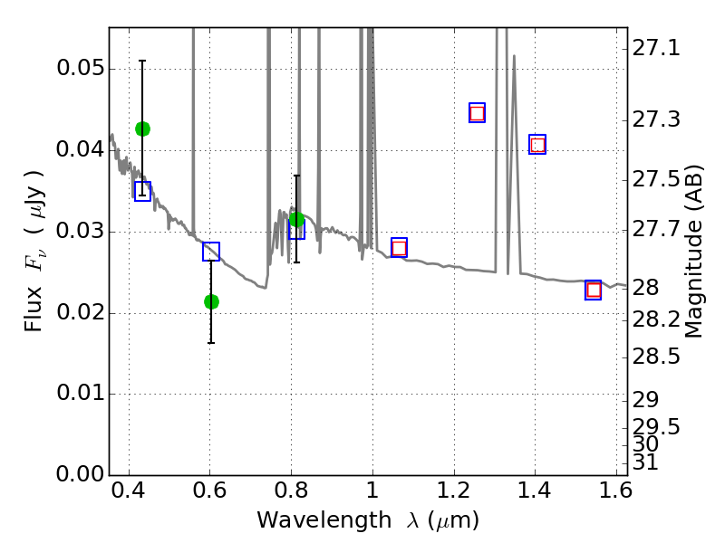
ABELL520 ACS+IR detection object #14427

Color images and BPZ results
Catalog: 14427.cat
Black segments are analyzed here.   Roll mouse over color images to view segments.
Best viewed in a wide browser window (1200 pixels or more).   Download SED & P(z) plots to view larger versions.
In P(z) plots: Yellow lines mark the cluster redshift z = 0.203,  

Object #14427   x,y = (5596, 6072)   RA, Dec = (04:54:03.072, 02:57:56.52) = (73.51280, 2.96570)   BPZ = 1.004 [0.439--2.591]   type = 11.00 (SB11_A_0_l)   chisq2 = 1.97   ODDS = 0.14   z_cluster = 0.203