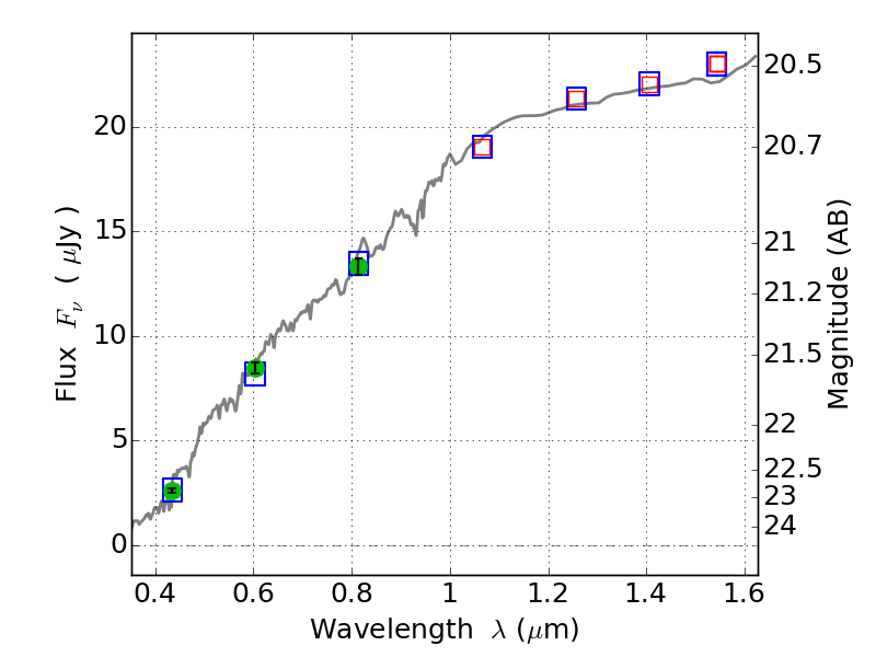
ABELL520 ACS+IR detection object #14322

Color images and BPZ results
Catalog: 14322.cat
Black segments are analyzed here.   Roll mouse over color images to view segments.
Best viewed in a wide browser window (1200 pixels or more).   Download SED & P(z) plots to view larger versions.
In P(z) plots: Yellow lines mark the cluster redshift z = 0.203,  

Object #14322   x,y = (6287, 5573)   RA, Dec = (04:54:00.312, 02:57:26.64) = (73.50130, 2.95740)   BPZ = 0.095 [0.057--0.127]   type = 3.70 (Ell4_A_0 - Ell5_A_0)   chisq2 = 0.05   ODDS = 0.98   z_cluster = 0.203