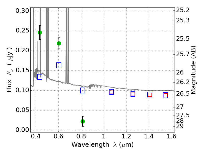
ABELL520 ACS+IR detection object #1431

Color images and BPZ results
Catalog: 1431.cat
Black segments are analyzed here.   Roll mouse over color images to view segments.
Best viewed in a wide browser window (1200 pixels or more).   Download SED & P(z) plots to view larger versions.
In P(z) plots: Yellow lines mark the cluster redshift z = 0.203,  

Object #1431   x,y = (4143, 1146)   RA, Dec = (04:54:08.904, 02:53:00.96) = (73.53710, 2.88360)   BPZ = 0.020 [0.010--1.915]   type = 11.00 (SB11_A_0_l)   chisq2 = 80.06   ODDS = 0.81   z_cluster = 0.203