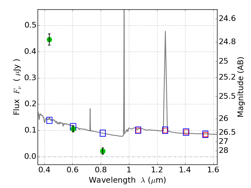
ABELL520 ACS+IR detection object #14006

Color images and BPZ results
Catalog: 14006.cat
Black segments are analyzed here.   Roll mouse over color images to view segments.
Best viewed in a wide browser window (1200 pixels or more).   Download SED & P(z) plots to view larger versions.
In P(z) plots: Yellow lines mark the cluster redshift z = 0.203,  

Object #14006   x,y = (516, 5638)   RA, Dec = (04:54:23.424, 02:57:30.24) = (73.59760, 2.95840)   BPZ = 1.593 [1.458--2.074]   type = 11.00 (SB11_A_0_l)   chisq2 = 219.79   ODDS = 0.63   z_cluster = 0.203