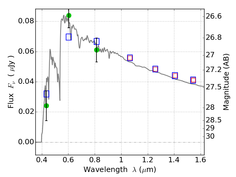
ABELL520 ACS+IR detection object #1399

Color images and BPZ results
Catalog: 1399.cat
Black segments are analyzed here.   Roll mouse over color images to view segments.
Best viewed in a wide browser window (1200 pixels or more).   Download SED & P(z) plots to view larger versions.
In P(z) plots: Yellow lines mark the cluster redshift z = 0.203,  

Object #1399   x,y = (6854, 1122)   RA, Dec = (04:53:58.056, 02:52:59.52) = (73.49190, 2.88320)   BPZ = 3.424 [0.327--3.673]   type = 11.00 (SB11_A_0_l)   chisq2 = 3.55   ODDS = 0.56   z_cluster = 0.203