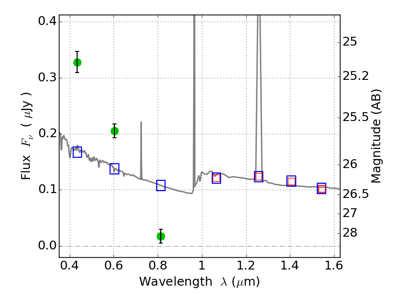
ABELL520 ACS+IR detection object #13897

Color images and BPZ results
Catalog: 13897.cat
Black segments are analyzed here.   Roll mouse over color images to view segments.
Best viewed in a wide browser window (1200 pixels or more).   Download SED & P(z) plots to view larger versions.
In P(z) plots: Yellow lines mark the cluster redshift z = 0.203,  

Object #13897   x,y = (7260, 5738)   RA, Dec = (04:53:56.424, 02:57:36.36) = (73.48510, 2.96010)   BPZ = 1.594 [0.016--2.006]   type = 11.00 (SB11_A_0_l)   chisq2 = 133.37   ODDS = 0.64   z_cluster = 0.203