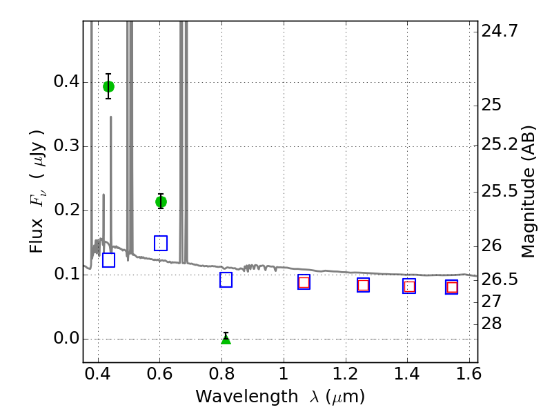
ABELL520 ACS+IR detection object #13677

Color images and BPZ results
Catalog: 13677.cat
Black segments are analyzed here.   Roll mouse over color images to view segments.
Best viewed in a wide browser window (1200 pixels or more).   Download SED & P(z) plots to view larger versions.
In P(z) plots: Yellow lines mark the cluster redshift z = 0.203,  

Object #13677   x,y = (7234, 5803)   RA, Dec = (04:53:56.520, 02:57:40.32) = (73.48550, 2.96120)   BPZ = 0.019 [0.010--1.640]   type = 11.00 (SB11_A_0_l)   chisq2 = 258.52   ODDS = 0.93   z_cluster = 0.203