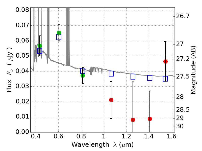
ABELL520 ACS+IR detection object #1346

Color images and BPZ results
Catalog: 1346.cat
Black segments are analyzed here.   Roll mouse over color images to view segments.
Best viewed in a wide browser window (1200 pixels or more).   Download SED & P(z) plots to view larger versions.
In P(z) plots: Yellow lines mark the cluster redshift z = 0.203,  

Object #1346   x,y = (4777, 1090)   RA, Dec = (04:54:06.360, 02:52:57.36) = (73.52650, 2.88260)   BPZ = 0.031 [0.024--2.819]   type = 11.00 (SB11_A_0_l)   chisq2 = 1.14   ODDS = 0.08   z_cluster = 0.203