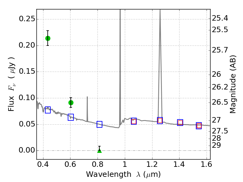
ABELL520 ACS+IR detection object #13411

Color images and BPZ results
Catalog: 13411.cat
Black segments are analyzed here.   Roll mouse over color images to view segments.
Best viewed in a wide browser window (1200 pixels or more).   Download SED & P(z) plots to view larger versions.
In P(z) plots: Yellow lines mark the cluster redshift z = 0.203,  

Object #13411   x,y = (496, 5995)   RA, Dec = (04:54:23.520, 02:57:51.84) = (73.59800, 2.96440)   BPZ = 1.594 [1.447--2.114]   type = 11.00 (SB11_A_0_l)   chisq2 = 141.63   ODDS = 0.52   z_cluster = 0.203