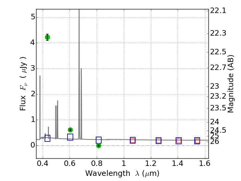
ABELL520 ACS+IR detection object #1275

Color images and BPZ results
Catalog: 1275.cat
Black segments are analyzed here.   Roll mouse over color images to view segments.
Best viewed in a wide browser window (1200 pixels or more).   Download SED & P(z) plots to view larger versions.
In P(z) plots: Yellow lines mark the cluster redshift z = 0.203,  

Object #1275   x,y = (7663, 1041)   RA, Dec = (04:53:54.816, 02:52:54.48) = (73.47840, 2.88180)   BPZ = 0.017 [0.010--0.034]   type = 11.00 (SB11_A_0_l)   chisq2 = 1125.09   ODDS = 1.00   z_cluster = 0.203