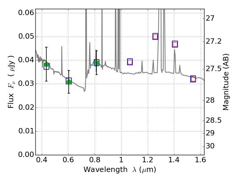
ABELL520 ACS+IR detection object #12293

Color images and BPZ results
Catalog: 12293.cat
Black segments are analyzed here.   Roll mouse over color images to view segments.
Best viewed in a wide browser window (1200 pixels or more).   Download SED & P(z) plots to view larger versions.
In P(z) plots: Yellow lines mark the cluster redshift z = 0.203,  

Object #12293   x,y = (2795, 6538)   RA, Dec = (04:54:14.304, 02:58:24.24) = (73.55960, 2.97340)   BPZ = 0.966 [0.234--2.654]   type = 10.50 (SB11_A_0_l - SB3_B10)   chisq2 = 0.02   ODDS = 0.09   z_cluster = 0.203