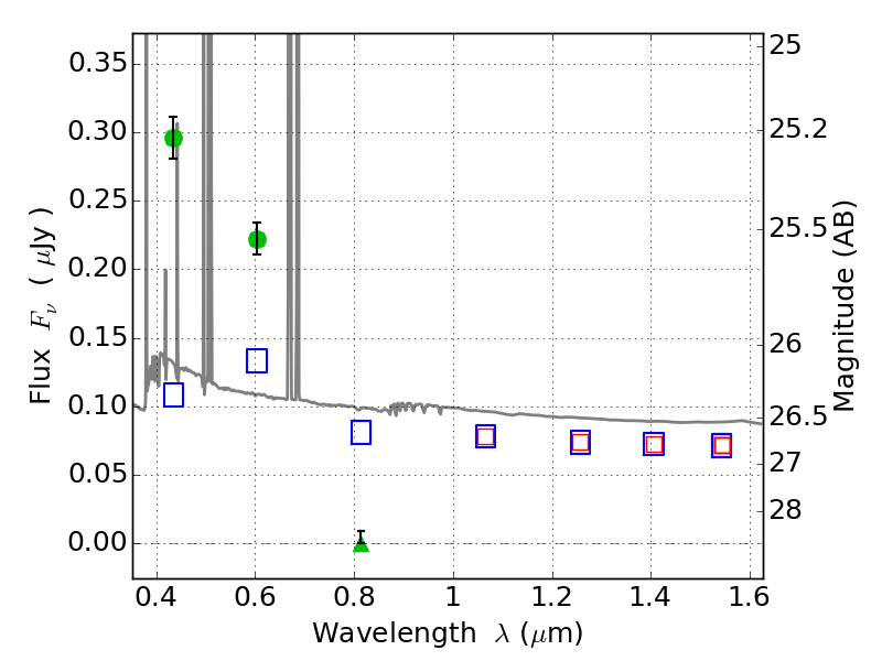
ABELL520 ACS+IR detection object #12080

Color images and BPZ results
Catalog: 12080.cat
Black segments are analyzed here.   Roll mouse over color images to view segments.
Best viewed in a wide browser window (1200 pixels or more).   Download SED & P(z) plots to view larger versions.
In P(z) plots: Yellow lines mark the cluster redshift z = 0.203,  

Object #12080   x,y = (409, 6626)   RA, Dec = (04:54:23.856, 02:58:29.64) = (73.59940, 2.97490)   BPZ = 0.018 [0.010--0.036]   type = 11.00 (SB11_A_0_l)   chisq2 = 236.06   ODDS = 1.00   z_cluster = 0.203