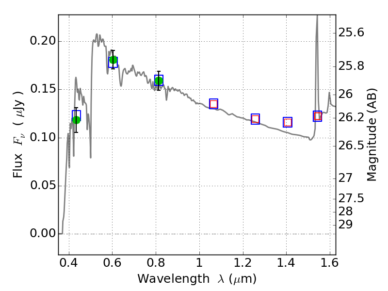
ABELL520 ACS+IR detection object #12063

Color images and BPZ results
Catalog: 12063.cat
Black segments are analyzed here.   Roll mouse over color images to view segments.
Best viewed in a wide browser window (1200 pixels or more).   Download SED & P(z) plots to view larger versions.
In P(z) plots: Yellow lines mark the cluster redshift z = 0.203,  

Object #12063   x,y = (3591, 6599)   RA, Dec = (04:54:11.112, 02:58:28.20) = (73.54630, 2.97450)   BPZ = 3.127 [0.290--3.278]   type = 10.70 (SB11_A_0_l - SB3_B10)   chisq2 = 0.10   ODDS = 0.64   z_cluster = 0.203