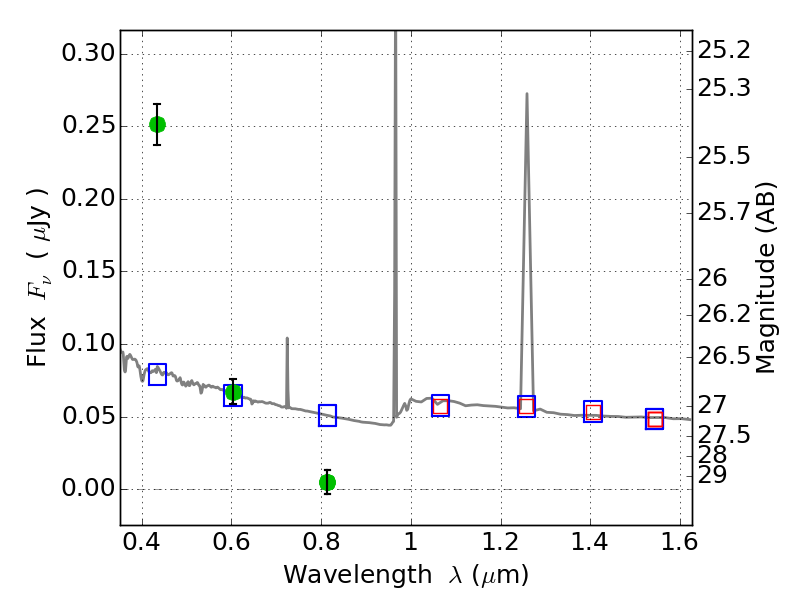
ABELL520 ACS+IR detection object #11891

Color images and BPZ results
Catalog: 11891.cat
Black segments are analyzed here.   Roll mouse over color images to view segments.
Best viewed in a wide browser window (1200 pixels or more).   Download SED & P(z) plots to view larger versions.
In P(z) plots: Yellow lines mark the cluster redshift z = 0.203,  

Object #11891   x,y = (379, 6691)   RA, Dec = (04:54:23.976, 02:58:33.60) = (73.59990, 2.97600)   BPZ = 1.593 [1.444--2.113]   type = 11.00 (SB11_A_0_l)   chisq2 = 179.26   ODDS = 0.54   z_cluster = 0.203