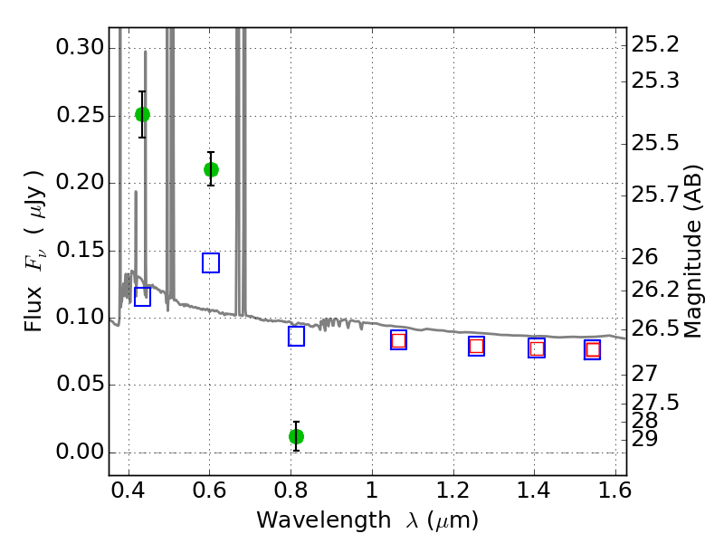
ABELL520 ACS+IR detection object #11689

Color images and BPZ results
Catalog: 11689.cat
Black segments are analyzed here.   Roll mouse over color images to view segments.
Best viewed in a wide browser window (1200 pixels or more).   Download SED & P(z) plots to view larger versions.
In P(z) plots: Yellow lines mark the cluster redshift z = 0.203,  

Object #11689   x,y = (363, 6870)   RA, Dec = (04:54:24.048, 02:58:44.40) = (73.60020, 2.97900)   BPZ = 0.019 [0.010--0.042]   type = 11.00 (SB11_A_0_l)   chisq2 = 123.97   ODDS = 0.99   z_cluster = 0.203