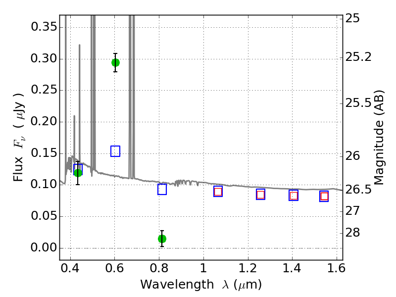
ABELL520 ACS+IR detection object #11206

Color images and BPZ results
Catalog: 11206.cat
Black segments are analyzed here.   Roll mouse over color images to view segments.
Best viewed in a wide browser window (1200 pixels or more).   Download SED & P(z) plots to view larger versions.
In P(z) plots: Yellow lines mark the cluster redshift z = 0.203,  

Object #11206   x,y = (326, 6999)   RA, Dec = (04:54:24.192, 02:58:51.96) = (73.60080, 2.98110)   BPZ = 0.018 [0.010--0.038]   type = 11.00 (SB11_A_0_l)   chisq2 = 109.31   ODDS = 1.00   z_cluster = 0.203