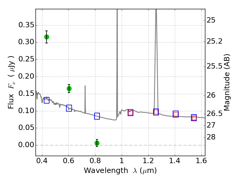
ABELL520 ACS+IR detection object #11011

Color images and BPZ results
Catalog: 11011.cat
Black segments are analyzed here.   Roll mouse over color images to view segments.
Best viewed in a wide browser window (1200 pixels or more).   Download SED & P(z) plots to view larger versions.
In P(z) plots: Yellow lines mark the cluster redshift z = 0.203,  

Object #11011   x,y = (343, 7106)   RA, Dec = (04:54:24.120, 02:58:58.44) = (73.60050, 2.98290)   BPZ = 1.594 [1.487--2.044]   type = 11.00 (SB11_A_0_l)   chisq2 = 165.33   ODDS = 0.65   z_cluster = 0.203