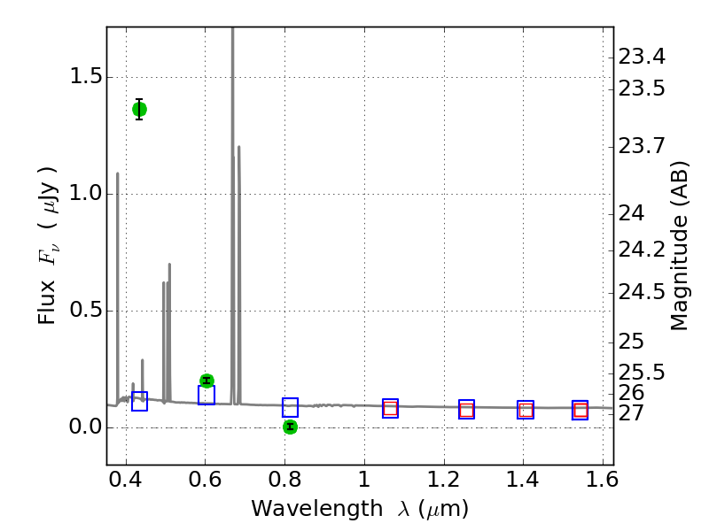
ABELL520 ACS+IR detection object #10730

Color images and BPZ results
Catalog: 10730.cat
Black segments are analyzed here.   Roll mouse over color images to view segments.
Best viewed in a wide browser window (1200 pixels or more).   Download SED & P(z) plots to view larger versions.
In P(z) plots: Yellow lines mark the cluster redshift z = 0.203,  

Object #10730   x,y = (280, 7294)   RA, Dec = (04:54:24.384, 02:59:09.60) = (73.60160, 2.98600)   BPZ = 0.019 [0.011--1.943]   type = 11.00 (SB11_A_0_l)   chisq2 = 932.23   ODDS = 0.31   z_cluster = 0.203