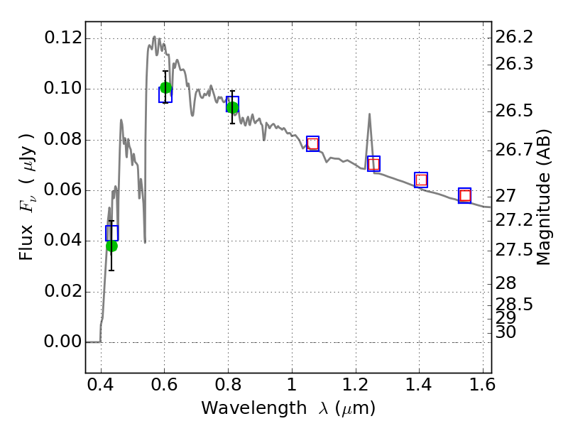
ABELL520 ACS+IR detection object #10728

Color images and BPZ results
Catalog: 10728.cat
Black segments are analyzed here.   Roll mouse over color images to view segments.
Best viewed in a wide browser window (1200 pixels or more).   Download SED & P(z) plots to view larger versions.
In P(z) plots: Yellow lines mark the cluster redshift z = 0.203,  

Object #10728   x,y = (1816, 7288)   RA, Dec = (04:54:18.216, 02:59:09.24) = (73.57590, 2.98590)   BPZ = 3.442 [0.356--3.628]   type = 11.00 (SB11_A_0_l)   chisq2 = 0.32   ODDS = 0.75   z_cluster = 0.203