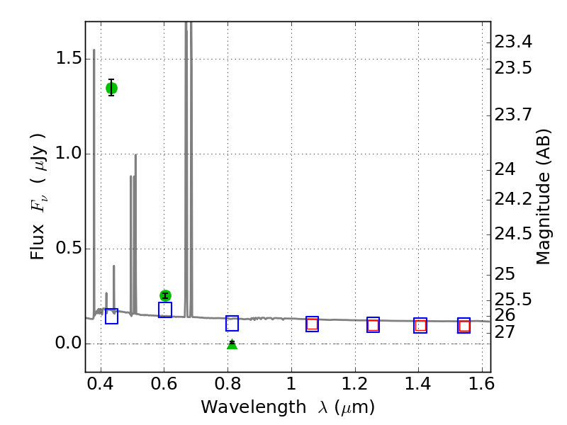
ABELL520 ACS+IR detection object #10693

Color images and BPZ results
Catalog: 10693.cat
Black segments are analyzed here.   Roll mouse over color images to view segments.
Best viewed in a wide browser window (1200 pixels or more).   Download SED & P(z) plots to view larger versions.
In P(z) plots: Yellow lines mark the cluster redshift z = 0.203,  

Object #10693   x,y = (3853, 7316)   RA, Dec = (04:54:10.056, 02:59:11.04) = (73.54190, 2.98640)   BPZ = 0.018 [0.010--1.687]   type = 11.00 (SB11_A_0_l)   chisq2 = 819.98   ODDS = 0.85   z_cluster = 0.203