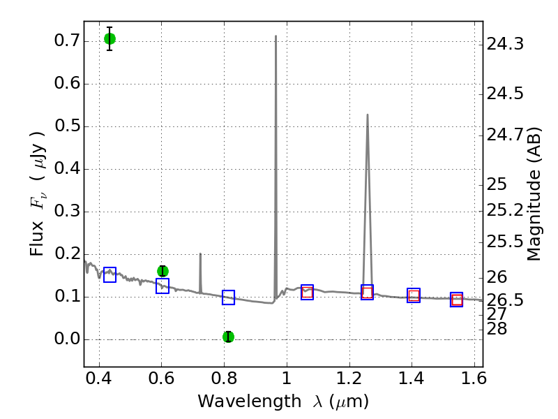
ABELL520 ACS+IR detection object #10563

Color images and BPZ results
Catalog: 10563.cat
Black segments are analyzed here.   Roll mouse over color images to view segments.
Best viewed in a wide browser window (1200 pixels or more).   Download SED & P(z) plots to view larger versions.
In P(z) plots: Yellow lines mark the cluster redshift z = 0.203,  

Object #10563   x,y = (3872, 7394)   RA, Dec = (04:54:09.984, 02:59:15.72) = (73.54160, 2.98770)   BPZ = 1.593 [1.512--1.987]   type = 11.00 (SB11_A_0_l)   chisq2 = 446.46   ODDS = 0.78   z_cluster = 0.203