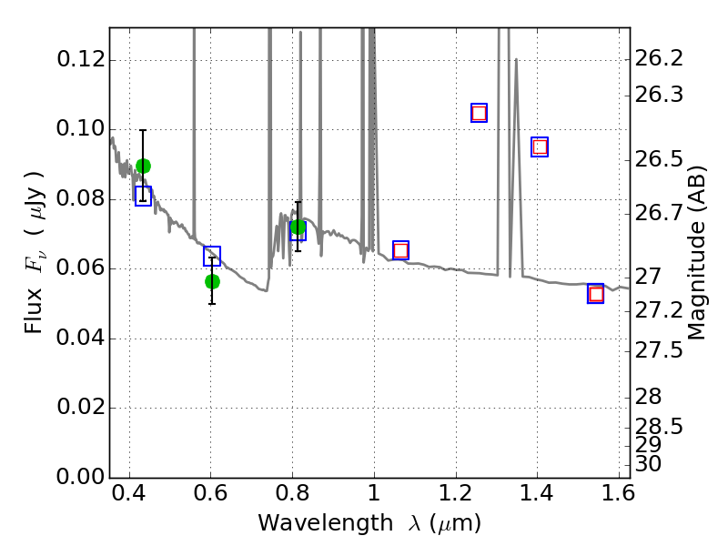
ABELL520 ACS+IR detection object #10433

Color images and BPZ results
Catalog: 10433.cat
Black segments are analyzed here.   Roll mouse over color images to view segments.
Best viewed in a wide browser window (1200 pixels or more).   Download SED & P(z) plots to view larger versions.
In P(z) plots: Yellow lines mark the cluster redshift z = 0.203,  

Object #10433   x,y = (1871, 7674)   RA, Dec = (04:54:18.000, 02:59:32.64) = (73.57500, 2.99240)   BPZ = 1.002 [0.638--2.293]   type = 11.00 (SB11_A_0_l)   chisq2 = 1.06   ODDS = 0.33   z_cluster = 0.203