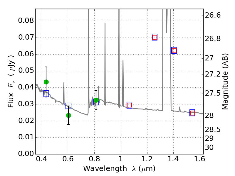
ABELL520 ACS+IR detection object #10190

Color images and BPZ results
Catalog: 10190.cat
Black segments are analyzed here.   Roll mouse over color images to view segments.
Best viewed in a wide browser window (1200 pixels or more).   Download SED & P(z) plots to view larger versions.
In P(z) plots: Yellow lines mark the cluster redshift z = 0.203,  

Object #10190   x,y = (1966, 7682)   RA, Dec = (04:54:17.616, 02:59:33.00) = (73.57340, 2.99250)   BPZ = 1.032 [0.388--2.668]   type = 10.90 (SB11_A_0_l - SB3_B10)   chisq2 = 1.12   ODDS = 0.12   z_cluster = 0.203