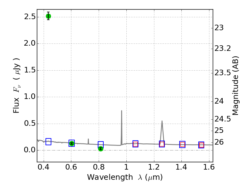
ABELL520 ACS+IR detection object #10014

Color images and BPZ results
Catalog: 10014.cat
Black segments are analyzed here.   Roll mouse over color images to view segments.
Best viewed in a wide browser window (1200 pixels or more).   Download SED & P(z) plots to view larger versions.
In P(z) plots: Yellow lines mark the cluster redshift z = 0.203,  

Object #10014   x,y = (3808, 7908)   RA, Dec = (04:54:10.248, 02:59:46.68) = (73.54270, 2.99630)   BPZ = 1.593 [1.428--2.124]   type = 11.00 (SB11_A_0_l)   chisq2 = 1001.28   ODDS = 0.51   z_cluster = 0.203