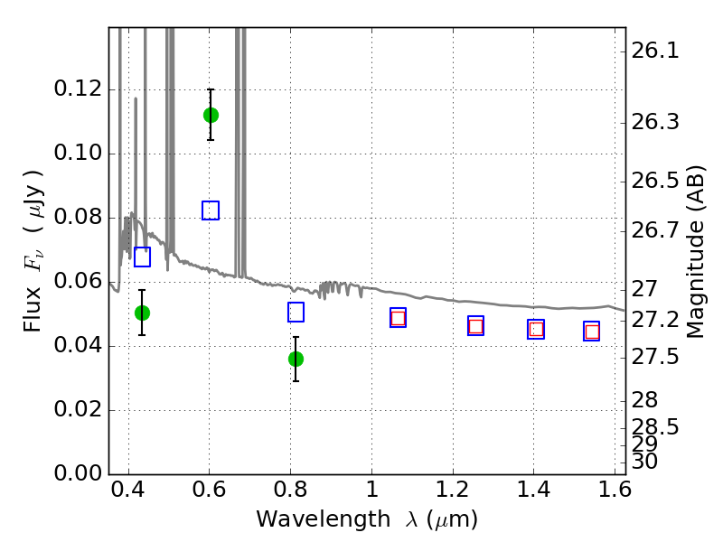
ABELL3192 ACS+IR detection object #5573

Color images and BPZ results
Catalog: 5573.cat
Black segments are analyzed here.   Roll mouse over color images to view segments.
Best viewed in a wide browser window (1200 pixels or more).   Download SED & P(z) plots to view larger versions.
In P(z) plots: Yellow lines mark the cluster redshift z = 0.425,  

Object #5573   x,y = (4170, 1613)   RA, Dec = (03:58:44.424, -29:56:47.76) = (59.68510, -29.94660)   BPZ = 0.023 [0.010--2.971]   type = 11.00 (SB11_A_0_l)   chisq2 = 16.22   ODDS = 0.90   z_cluster = 0.425