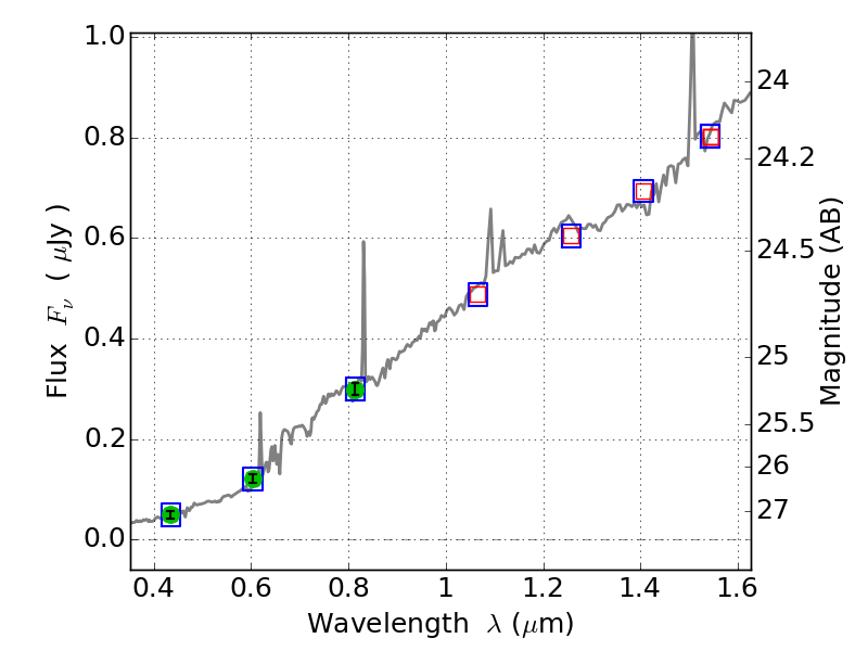
ABELL3192 ACS+IR detection object #4672

Color images and BPZ results
Catalog: 4672.cat
Black segments are analyzed here.   Roll mouse over color images to view segments.
Best viewed in a wide browser window (1200 pixels or more).   Download SED & P(z) plots to view larger versions.
In P(z) plots: Yellow lines mark the cluster redshift z = 0.425,  

Object #4672   x,y = (1066, 1166)   RA, Dec = (03:58:58.752, -29:57:14.76) = (59.74480, -29.95410)   BPZ = 0.662 [0.357--3.027]   type = 6.50 (Scd_B10 - Sbc_B10)   chisq2 = 0.00   ODDS = 0.22   z_cluster = 0.425