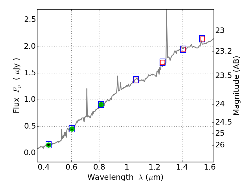
ABELL3192 ACS+IR detection object #4015

Color images and BPZ results
Catalog: 4015.cat
Black segments are analyzed here.   Roll mouse over color images to view segments.
Best viewed in a wide browser window (1200 pixels or more).   Download SED & P(z) plots to view larger versions.
In P(z) plots: Yellow lines mark the cluster redshift z = 0.425,  

Object #4015   x,y = (3312, 1687)   RA, Dec = (03:58:48.384, -29:56:43.44) = (59.70160, -29.94540)   BPZ = 0.416 [0.143--3.252]   type = 6.40 (Sbc_B10 - Scd_B10)   chisq2 = 0.00   ODDS = 0.30   z_cluster = 0.425