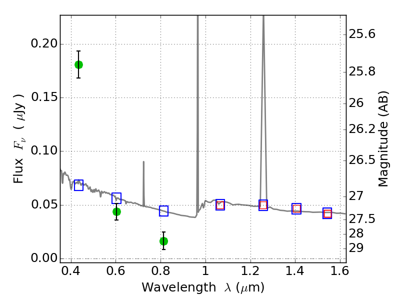
ABELL3192 ACS+IR detection object #230

Color images and BPZ results
Catalog: 230.cat
Black segments are analyzed here.   Roll mouse over color images to view segments.
Best viewed in a wide browser window (1200 pixels or more).   Download SED & P(z) plots to view larger versions.
In P(z) plots: Yellow lines mark the cluster redshift z = 0.425,  

Object #230   x,y = (976, 4440)   RA, Dec = (03:58:59.184, -29:53:58.20) = (59.74660, -29.89950)   BPZ = 1.593 [1.375--2.172]   type = 11.00 (SB11_A_0_l)   chisq2 = 91.40   ODDS = 0.40   z_cluster = 0.425