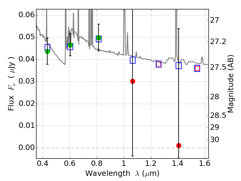
ABELL3192 ACS+IR detection object #2136

Color images and BPZ results
Catalog: 2136.cat
Black segments are analyzed here.   Roll mouse over color images to view segments.
Best viewed in a wide browser window (1200 pixels or more).   Download SED & P(z) plots to view larger versions.
In P(z) plots: Yellow lines mark the cluster redshift z = 0.425,  

Object #2136   x,y = (3727, 2982)   RA, Dec = (03:58:46.488, -29:55:25.68) = (59.69370, -29.92380)   BPZ = 0.531 [0.119--3.041]   type = 10.90 (SB11_A_0_l - SB3_B10)   chisq2 = 0.21   ODDS = 0.08   z_cluster = 0.425