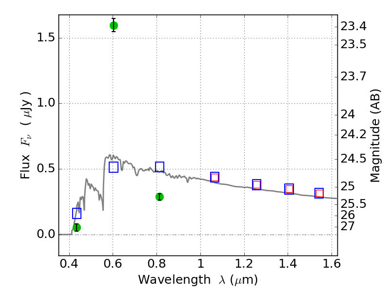
ABELL2813 ACS+IR detection object #6131

Color images and BPZ results
Catalog: 6131.cat
Black segments are analyzed here.   Roll mouse over color images to view segments.
Best viewed in a wide browser window (1200 pixels or more).   Download SED & P(z) plots to view larger versions.
In P(z) plots: Yellow lines mark the cluster redshift z = 0.292,  

Object #6131   x,y = (3024, 638)   RA, Dec = (00:43:23.256, -20:39:16.20) = (10.84690, -20.65450)   BPZ = 3.583 [3.478--3.644]   type = 11.00 (SB11_A_0_l)   chisq2 = 366.10   ODDS = 1.00   z_cluster = 0.292