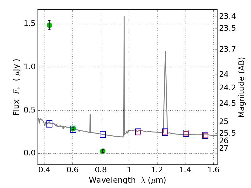
ABELL2813 ACS+IR detection object #5844

Color images and BPZ results
Catalog: 5844.cat
Black segments are analyzed here.   Roll mouse over color images to view segments.
Best viewed in a wide browser window (1200 pixels or more).   Download SED & P(z) plots to view larger versions.
In P(z) plots: Yellow lines mark the cluster redshift z = 0.292,  

Object #5844   x,y = (3316, 911)   RA, Dec = (00:43:22.008, -20:39:0) = (10.84170, -20.65000)   BPZ = 1.593 [1.507--1.975]   type = 11.00 (SB11_A_0_l)   chisq2 = 429.10   ODDS = 0.80   z_cluster = 0.292