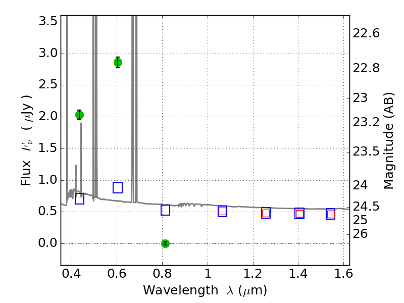
ABELL2813 ACS+IR detection object #5785

Color images and BPZ results
Catalog: 5785.cat
Black segments are analyzed here.   Roll mouse over color images to view segments.
Best viewed in a wide browser window (1200 pixels or more).   Download SED & P(z) plots to view larger versions.
In P(z) plots: Yellow lines mark the cluster redshift z = 0.292,  

Object #5785   x,y = (3404, 963)   RA, Dec = (00:43:21.624, -20:38:56.76) = (10.84010, -20.64910)   BPZ = 0.016 [0.010--0.031]   type = 11.00 (SB11_A_0_l)   chisq2 = 637.70   ODDS = 1.00   z_cluster = 0.292