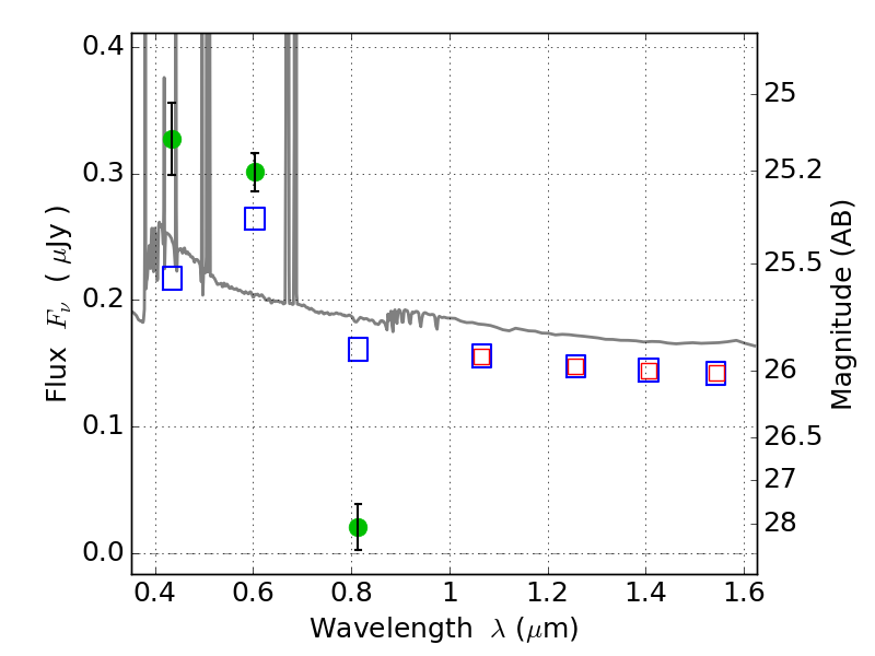
ABELL2813 ACS+IR detection object #5493

Color images and BPZ results
Catalog: 5493.cat
Black segments are analyzed here.   Roll mouse over color images to view segments.
Best viewed in a wide browser window (1200 pixels or more).   Download SED & P(z) plots to view larger versions.
In P(z) plots: Yellow lines mark the cluster redshift z = 0.292,  

Object #5493   x,y = (3613, 1171)   RA, Dec = (00:43:20.736, -20:38:44.52) = (10.83640, -20.64570)   BPZ = 0.020 [0.010--0.042]   type = 11.00 (SB11_A_0_l)   chisq2 = 44.88   ODDS = 1.00   z_cluster = 0.292