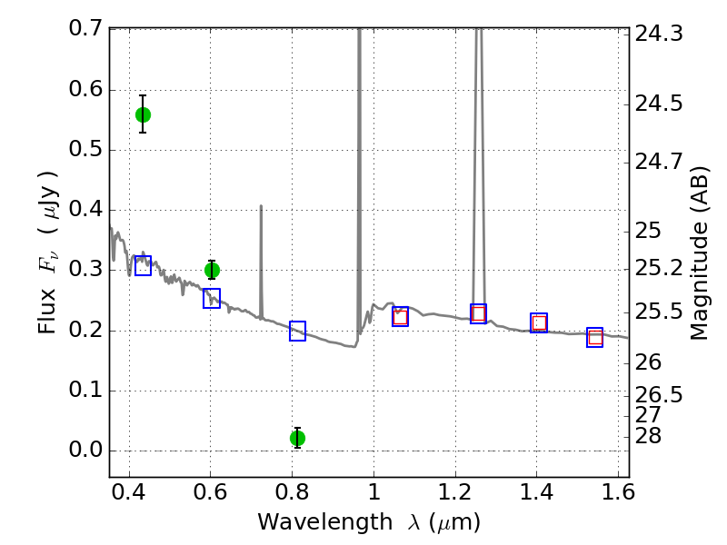
ABELL2813 ACS+IR detection object #5380

Color images and BPZ results
Catalog: 5380.cat
Black segments are analyzed here.   Roll mouse over color images to view segments.
Best viewed in a wide browser window (1200 pixels or more).   Download SED & P(z) plots to view larger versions.
In P(z) plots: Yellow lines mark the cluster redshift z = 0.292,  

Object #5380   x,y = (3701, 1243)   RA, Dec = (00:43:20.352, -20:38:40.20) = (10.83480, -20.64450)   BPZ = 1.594 [1.503--2.015]   type = 11.00 (SB11_A_0_l)   chisq2 = 94.99   ODDS = 0.70   z_cluster = 0.292