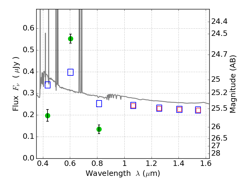
ABELL2813 ACS+IR detection object #5242

Color images and BPZ results
Catalog: 5242.cat
Black segments are analyzed here.   Roll mouse over color images to view segments.
Best viewed in a wide browser window (1200 pixels or more).   Download SED & P(z) plots to view larger versions.
In P(z) plots: Yellow lines mark the cluster redshift z = 0.292,  

Object #5242   x,y = (3824, 1349)   RA, Dec = (00:43:19.824, -20:38:33.72) = (10.83260, -20.64270)   BPZ = 0.017 [0.010--0.037]   type = 11.00 (SB11_A_0_l)   chisq2 = 47.65   ODDS = 1.00   z_cluster = 0.292