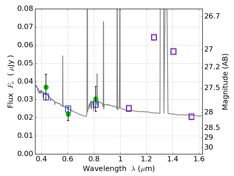
ABELL2813 ACS+IR detection object #5195

Color images and BPZ results
Catalog: 5195.cat
Black segments are analyzed here.   Roll mouse over color images to view segments.
Best viewed in a wide browser window (1200 pixels or more).   Download SED & P(z) plots to view larger versions.
In P(z) plots: Yellow lines mark the cluster redshift z = 0.292,  

Object #5195   x,y = (3182, 1380)   RA, Dec = (00:43:22.560, -20:38:31.92) = (10.84400, -20.64220)   BPZ = 1.008 [0.460--2.594]   type = 11.00 (SB11_A_0_l)   chisq2 = 0.80   ODDS = 0.12   z_cluster = 0.292